鈦及鈦合金具有耐高溫、耐腐蝕性、比強度高、密度小及耐低溫等優異性能,在海洋工程、航空發動機、氫氧發動機、化工等不同領域都有十分廣泛的應用,發展前景良好[1-2]。TA15鈦合金的名義成分為Ti-6.5A1-2Zr-1Mo-1V,是一種中強度的近α型鈦合金,強化方式除了添加α型穩定元素Al進行固溶強化以外,還加入Mo和V兩種β型穩定元素以及中間元素Zr進行強化,使其具有優異的熱強性、焊接性以及工藝塑性等特點,在飛機機匣、發動機葉片、氫氧發動機結構件等領域均有大量應用[3-4]。
由于TA15鈦合金在諸多領域的應用愈加廣泛,對其性能的要求也更加嚴格,研究更加深入和多面化。周松等[5]進行了激光沉積修復TA15鈦合金斷裂韌度研究。結果表明:激光修復后的試樣其各方面斷裂韌性均小于基材,屈強差越大,斷裂韌性越大,體修復后的裂紋擴展位于熱影響區,而面修復后的裂紋擴展在網籃組織、雙態組織及熱影響區內同時進行。董顯娟等[6]研究了β轉變組織TA15鈦合金的流動軟化行為。結果表明:影響其流動軟化機制的重要因素為變形熱效應,隨著應變速率的提高和變形溫度的降低,變形熱軟化程度增強,控制流動軟化的機制有動態回復、動態再結晶以及流動失穩缺陷等因素。本文以TA15鈦合金棒材為研究對象,研究了棒材在不同退火溫度后的金相組織、室溫拉伸以及高溫拉伸的力學性能演變規律,可為TA15鈦合金的生產應用提供參考。
1、試驗材料與方法
試驗原材料為TA15鈦合金棒材,具體化學成分見表1。合金的原始鍛態金相組織如圖1所示。該金相組織為等軸組織,其中α相形態有兩種,一種為初生α相,在基體上均勻分布的;另一種為次生α相,主要在βT(β轉變組織)中,原始金相組織由初生α相和βT(細條次生α相,次生α相之間黑色底為殘余β)組成。合金相變點測定根據GB/T23605—2009《鈦合金轉變溫度β測定方法》執行,測得其相變點為1010~1015℃。


將TA15鈦合金棒材切割成若干份,進行室溫與高溫拉伸性能測試,其中室溫拉伸測試方法為:將切割后棒材放入箱式電阻爐中分別進行870、900、930、960℃的熱處理,保溫時間為1.5h,冷卻方式為空冷(AC),熱處理完成后,從棒材上取樣并進行金相組織觀察和室溫拉伸性能測試。高溫拉伸測試方法為:將棒材加工成高溫拉伸試樣后,將試樣裝入試驗設備中進行加熱,待溫度升到870、900、930、960℃后并保溫10min,隨后分別在這4種溫度下進行高溫拉伸試驗。
使用ICX41M光學顯微鏡觀察并拍照金相組織;使用INSTRON-5580萬能試驗機進行室溫和高溫拉伸性能測試;室溫及高溫拉伸試樣斷口形貌使用QUANTA型掃描電鏡觀察,室溫與高溫拉伸試樣均為L向(棒材縱向),每組試驗測試3個試樣,最后取平均值作為試驗結果。
2、結果與討論
2.1金相組織
圖2為TA15合金經過不同溫度退火后的金相組織。由圖2可知,與原始鍛態組織相比,合金在870℃時(圖2(a)),初生α相尺寸減小,βT組織消失,除了初生α相以外,組織內還有細小次生α相均勻分布。因為TA15棒材在兩相區鍛造時的塑性變形使組織位錯密度增多,同時還有少量變形能以應變能的形式儲存起來。所以,在870℃退火時,合金以回復為主,釋放部分變形儲能,增強內部原子擴散,降低組織位錯密度。當退火溫度在900℃時(圖2(b)),組織內初生α相和細小次生α相含量減少,溫度升高導致原子擴散能力提高,變形時發生畸變的晶粒和未發生畸變的晶粒有內能差產生,在其作用下,發生變形的晶粒轉變為位錯密度低且無應變的等軸晶,變形儲能得到進一步釋放。退火溫度在930℃時(圖2(c)),細小次生α相含量進一步減少,組織內出現完整的β晶粒。由于退火溫度進一步升高,組織內平衡α相的體積分數增加,使α相開始 沿著β/β晶界逐漸向再結晶β片層中滲透,導致β晶粒開始分離[7]。當溫度達到960℃時(圖2(d)),組織內的β晶粒中有新的細小的α相析出(αs),與殘余β相組成新的βT組織,此時合金的組織由等軸組織轉變為雙態組織。通常情況下,組織中αs是否析出由加熱后合金冷卻速度和β基體內元素含量決定[7]。因為退火溫度會影響合金中元素再分配的過程,當退火溫度升高時,α相向β相轉變增多,元素再分配會使β穩定元素在β相中的含量下降,同時組織內α穩定元素含量增加,β相的穩定性在冷卻過程中降低,促使αs相析出。又因為冷卻速度相同時,退火溫度決定冷卻時間的長短,溫度越高,冷卻時間越長,對于αs的析出越有利。

2.2室溫拉伸性能
圖3為不同溫度退火后合金的室溫拉伸性能。
由圖3可得,隨著退火溫度的升高,合金強度先下降然后升高,塑性呈現出相反趨勢,在960℃退火溫度下,抗拉強度(Rm)最高可達1071MPa,屈服強度(Rp0.2)為881MPa;在930℃退火溫度下,斷后伸長率(A)最高為17.5%,斷面收縮率(Z)為46%。這是因為隨著退火溫度的升高,組織內α相向β相開始轉變,組織中α相和β相同時發生回復與再結晶。

在870℃退火時,以回復為主,鍛造變形產生的位錯無法完全去除,導致合金的強度較低[8]。當退火溫度為900℃時,以再結晶為主,隨著α--->β相轉變進行,組織的次生α相發生溶解,導致β相發生軟化,合金在強度降低的同時塑性提高。因此,當退火溫度升高到930℃時,合金的強度與塑性變化更加明顯。相比900℃退火,組織中初生α相更小,大部分次生α相融入β相中,組織中出現軟化后的β晶粒,致使合金的強度降低到最小值,塑性達到最大值。在960℃進行退火時,合金的力學性能受到α--->β相轉變過程中初生α相的形態和含量發生變化以及冷卻過程中αs相析出的雙重影響。合金發生塑性變形時,滑移首先在等軸α晶粒中開始,形變在不斷增加過程中,越來越多的初生α相晶粒被滑移所占據,由于此時組織中存在βT,導致滑移會向βT內擴展,βT內的αs相是影響合金強度的主要因素[9],大量的細小αs相相互交錯分布于βT中,此時的相界面對滑移有阻礙作用,導致合金難以發生變形,強度增大。而等軸α晶粒具有縮小滑移帶間距的作用,使得位于晶界處位錯塞積減小,延遲空洞的形核及長大,增強合金發生斷裂前所承受變形的程度,對合金塑性具有有利作用[10-12]。
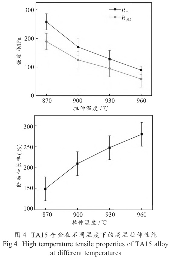
2.3高溫拉伸性能
圖4為TA15合金在不同溫度下的高溫拉伸性能。由圖4可知,隨著拉伸溫度的提高,合金的強度和塑性呈現相反趨勢。在870℃時,強度最高,塑性最低,其中抗拉強度(Rm)為258MPa,屈服強度(Rp0.2)為189MPa;在960℃時,強度最低,塑性最高,其中斷后伸長率(A)最高為280%。與室溫拉伸相比,高溫拉伸的合金強度明顯降低,塑性明顯上升。高溫拉伸時,合金內部能量升高,增大原子的震動范圍,進行塑性變形的晶格會位于新的平衡位置,在拉伸開始時,合金是以彈性變形為主,并包含少量塑性變形的混合變形,導致其與室溫拉伸有所不同。也有研究指出[13]:在高溫拉伸時,組織內的動態回復與動態再結晶相對與室溫更容易發生,位錯密度降低,合金軟化效果增加,導致形變容易發生,強度降低。當拉伸溫度為870℃時,此時變形溫度較低,當發生變形時,晶?;茣е陆M織中有大量位錯產生,并產生位錯纏結和堆積現象,導致位錯密度增加,合金具有一定硬化現象,導致應力上升,強度較高。當拉伸溫度為900℃時,隨著溫度的升高會導致組織內晶界強度降低,變形時晶粒會被拉長,表現為塑性增大,同時提高溫度還會促進動態再結晶,降低晶界滑動時所導致的晶界附近應力集中現象,促進變形發展,塑性提高。同時再結晶還會降低位錯密度,減弱硬化效果,導致強度降低。當變形溫度升到930℃時,較高溫度會大幅降低位錯滑移時的臨界分切應力,促進晶界滑移與位錯滑移產生,較高溫度還會使α相溶解度增加,次生α相減少會降低強化作用,合金強度進一步下降。當拉伸溫度為960℃時,α相溶解度進一步增加,組織發生α--->β相的轉變增多,初生α相細小且呈等軸狀,組織內晶界數量增多、長度變短,合金發生變形時容易產生晶界滑動,且β相具有更多的滑移系,變形時更容易進行晶內滑移[14],從而使合金塑性達到最大值。

2.4斷口分析
圖5為TA15合金經過不同溫度退火后的室溫拉伸斷口形貌。由圖5可知,不同退火溫度的斷口形貌大致相同,均以韌窩為主,形貌均為等軸韌窩,具有明顯的韌性斷裂特征。合金塑性大小通常由韌窩的深淺和大小決定,當韌窩深且大時,合金具有良好塑性,當韌窩淺且小時,合金塑性較差[15]。退火溫度為870、900℃時,斷口韌窩形貌分布均勻且為等軸狀韌窩,但韌窩較小較淺(圖5(a)、(b))。當合金退火溫度為930℃時,韌窩有大有小,分布均勻,且韌窩較深((圖5(c)),塑性達到最佳值。當退火溫度繼續升高至960℃時,組織中形成βT,其中含有細小αs相,進行拉伸時,當裂紋擴展至αs相時,由于不同αs相取向各異,當裂紋到達其邊界位置時,取向不同的αs相對其阻礙不同,界面上會有空洞出現(圖5(d)),宏觀上體現為合金塑性下降[16]。

圖6為不同拉伸溫度下TA15合金的高溫拉伸斷口形貌。由圖可見,與室溫拉伸斷口形貌相比,高溫拉伸斷口中同樣包含大量的等軸狀韌窩,其韌窩尺寸更大更深,且韌窩的大小和深度隨著拉伸溫度升高而變大,具有軟化后的流變特征,是明顯的韌性斷裂。高溫拉伸斷口處有眾多大尺寸韌窩產生,說明合金在斷裂前有較大的塑性變形發生,而其斷口處除了一定數量大尺寸韌窩外,較大的韌窩周圍分布著一定數量小韌窩。斷口中較大較深的韌窩通常是由α束域或等軸α晶粒在斷裂過程中形成,小韌窩一般由片狀α或β晶粒在斷裂時所形成。
3、結論
(1)合金的原始組織為等軸組織,退火后合金的初生α相尺寸減小,βT組織消失,并有細小次生α相均勻分布。隨著退火溫度的升高,組織經歷回復與再結晶過程,同時組織內β晶粒中有細小αs析出,與殘余β相組成新的βT組織,組織變為雙態組織。
(2)隨著退火溫度的升高,室溫下合金強度先下降再升高,塑性呈現出相反趨勢,在960℃時強度最高,抗拉強度為1071MPa,屈服強度為881MPa,在930℃時塑性最佳,斷后伸長率為17.5%,斷面收縮率為46%。高溫拉伸試驗中,在870℃時強度最高,抗拉強度為258MPa,屈服強度為189MPa,在960℃時,塑性最高,斷后伸長率最高為280%。
(3)不同熱處理溫度的室溫斷口形貌大致相同,均為等軸韌窩;不同拉伸溫度下的高溫拉伸斷口中同樣包含大量的等軸狀韌窩,其韌窩尺寸更大更深,室溫與高溫拉伸的斷口形貌均為韌性斷裂的特征。
參考文獻:
[1]郭鯉,何偉霞,周鵬,等.我國鈦及鈦合金產品的研究現狀及發展前景[J].熱加工工藝,2020,49(22):22-28.
[2]《稀有金屬加工手冊》編寫組.稀有金屬材料加工手冊[M].北京:冶金工業出版,1984.
[3]許愛軍,萬海鋒,梁春祖,等.低溫鈦合金材料應用現狀及發展趨勢[J].精密成形工程,2020,6(12):145-156.
[4]田永武,朱樂樂,李偉東,等.高溫鈦合金的應用及發展[J].熱加工工藝,2020,49(8):17-20.
[5]周松,查濤,回麗,等.激光沉積修復TA15鈦合金斷裂韌度研究[J].稀有金屬材料與工程,2021,50(7):2528-2535.
[6]董顯娟,胡生雙,徐勇,等.β轉變組織TA15鈦合金的流動軟化行為[J].中國有色金屬學報,2021,31(4):858-867.
[7]LüTjeringG,WilliamsJC.Titanium[M].Berlin:SpringerVerlag,2007.
[8]PanJinsheng,QuanJianmin,TianMinbo.Fundamentalofmaterialsscience[M].Beijing:TsinghuaUniversityPress,2011.
[9]SauerC,LuetjeringG.Thermo-mechanicalprocessingofhighstrengthTi-titaniumalloysandeffectsonmicrostructureandproperties[J].JournalofMaterialsProcessingTechnology,2001,117:311-317.
[10]HuangLJ,GengL,LiAB,etal.CharacteristicsofhotcompressionbehaviorofTi-6.5Al-3.5Mo-1.5Zr-0.3Sialloywithanequiaxedmicrostructure[J].MaterialsScienceandEngineer-ingA,2008,489(1/2):330-339.
[11]ShiXiaohui,ZengWeidong,LongYu,etal.Microstructureevolutionandmechanicalpropertiesofnear-αTi-8Al-1Mo-1Valloyatdifferentsolutiontemperaturesandcoolingrates[J].JournalofAlloysandCompounds,2017,727:555-565.
[12]ZhouYG,ZengWD,YuHQ.Aninvestigationofanewnear-betaforgingprocessfortitaniumalloysanditsapplicationinaviationcomponents[J].MaterialsScienceandEngineeringA,1996,221(1):204-212.
[13]ZhuShenliang,DongHongbo,ZhangGuihua,etal.Superplas-tictensiledeformationbehaviorofTC21titaniumalloy[J].Spe-cialCasting&NonferrousAlloys,2014,134(11):1217-1221.
[14李波,張沛.TC4合金高溫拉伸變形力學行為與微觀組織演變關聯研究[J].鍛壓技術,2015(6):108-115.
[15]劉暢,董月成,方志剛.新型高強韌Ti-Al-Fe-B系鈦合金組織和性能研究[J].稀有金屬材料與工程,2020,49(5):1607-1613.
[16]杜宇,郭荻子,劉偉,等.冷變形及退火參數對CT20鈦合金管材組織和拉伸性能的影響[J].中國有色金屬學報,2010,20(S1):1045-1049.
相關鏈接
- 2023-07-03 熱處理對航空緊固件用TC16鈦合金棒材組織性能的影響
- 2023-06-28 TC4鈦合金棒鈦合金板表面改性技術研究進展
- 2023-06-19 新工藝鍛造對航空用大規格TC11鈦合金棒材性能的影響
- 2023-06-16 利泰金屬現貨TC4/TA18/TB6鈦合金棒 鈦合金管 鈦合金板 材質保證 按圖紙生產
- 2023-06-12 熱加工工藝對葉片用TC4鈦合金棒材組織與性能的影響
- 2023-06-12 利泰金屬定制TC4/TA15/Ti80鈦合金板 鈦合金棒 鈦合金管 現貨供應
- 2023-05-26 航空航天緊固件用TC16鈦合金棒鍛造軋制熱加工過程的組織演變
- 2023-05-07 TB6鈦合金棒等溫鍛后熱處理工藝研究
- 2023-05-03 利泰金屬定制Ti80/TC4鈦鍛件 TB5鈦板 TC19鈦合金棒 特殊牌號庫存充足

